勝どき 算数入試問題解説⑤ 青稜中
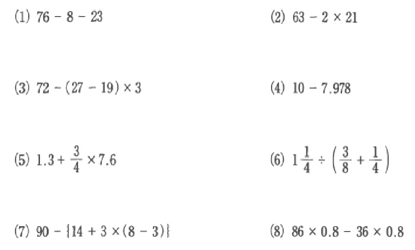
こんにちは。今日は青稜中の計算問題をご紹介します。 ONETES(旧首都圏模試)の偏差値で64~65、このあたりの偏差値帯の学校になると、計算問題には工夫が求められます。 分子のたし算のつながりを分断して分数を分けます。 […]
勝どき校
こんにちは。今日は青稜中の計算問題をご紹介します。 ONETES(旧首都圏模試)の偏差値で64~65、このあたりの偏差値帯の学校になると、計算問題には工夫が求められます。 分子のたし算のつながりを分断して分数を分けます。 […]
勝どき校
こんにちは。今日は文教大付属中へ行ってきました。 受験者数が大幅に増加した前年を、今春はさらに上回り、2,755名という爆発的な受験者を集めて中学受験界隈では大注目の学校です。 倍率が上がったことで学力上位層が入学し、進 […]
勝どき校
こんにちは。今日は三輪田学園へ行って参りました。 市ヶ谷駅と飯田橋駅の中間あたり。この辺りも学校が多いですね。 三輪田学園は法政大学市ヶ谷キャンパスの隣にあります。 その法政大と高大連携を結ぶようになり、協定校推薦が発表 […]
勝どき校
こんにちは。今日は一風変わった中学校へ。初めて行って参りました。 丸ノ内線の東高円寺駅から徒歩8分。住宅地の真ん中に大学とキャンパスを共有して立地しています。 特徴は当然「美術」。中学では週4時間、高校では週5~6時間美 […]
勝どき校
こんにちは。今日は難問という訳ではなく、小学校の算数でも習う内容ながら、思考力を問う問題をご紹介します。 大問5 次の表は、ある6人の生徒の「算数」と「社会」のテストの得点です。 (1)は、算数・社会の平均点を求める問題 […]
勝どき校
こんにちは。今日は大妻中へ。先日の千代田中のご近所ですね。 大妻女子大も併設され、オフィス街の中の落ち着いた環境です。 言わずと知れた伝統の名門女子校。 近年は理系に力を入れ、医学部や理工系への進学も増えています。 来年 […]
勝どき校
こんにちは。今日は千代田中・高の説明会へ行ってきました。 千代田女学園→千代田国際中/武蔵野大附属千代田高→千代田中・高と目まぐるしく校名が変わり、 校長も新たに一新された学校です。 学校の特徴は一言で言えば“先進的”。 […]
勝どき校
こんにちは。入試問題解説の第3弾です。 大問3 下の図の平行四辺形ABCDにおいて、点Eは辺AD上、点Fは辺DC上にあり、AE:ED=1:1、DF:FC=3:1です。対角線ACとBE、BFの交点をそれぞれG、Hとするとき […]
勝どき校
こんにちは。入試問題解説の第2弾です。 先日学校説明会で過去問をいただいてきた駒込中の問題から。 【問題】下の図で点A~点Lは、半径6cmの円Oの周を12等分する点です。 (中略)影の部分の面積を求めなさい。 直線と曲線 […]
勝どき校
こんにちは。今日は青山学院中へ行ってきました。 大学と併設されて広いキャンパス内を歩くのは気持ちが良いですね。 中等部は渋谷からやや表参道寄りの方に校舎があります。 割としっかりめにキリスト教育がされており、毎日2時間目 […]